オートブレイン装置

簡単な説明:

製品 Details
  • 製品説明

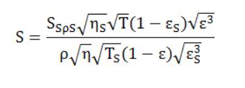
SZB-9タイプの自動固有の表面積新しい標準CBT8074-2008、同社および国立建築材料研究所のセメントおよび機器の品質監督、検査および試験センターの国立建築材料研究所の要件に合わせて、新しいSZB-9型セメント特異的表面領域自動測定機器を開発しました。マシンはシングルチップマイクロコンピューターによって制御され、測定プロセス全体を自動的に制御するためにフルタッチキーで操作されます。機器係数の値を自動的に記憶し、測定後に特定の表面積値を直接表示し、実験時間を記録しながら測定された特定の表面積値を自動的に記憶します。

技術的なパラメーター:

1。電源電圧:220V±10%

2。タイミング範囲:0.1秒-999秒

3。タイミングの精度:<0.2秒= "">

4。測定精度:<1>

5。温度範囲:8-34 ℃

6.特定の表面積値s:0.1-9999cm² / g

7。アプリケーションの範囲:GB / T8074-2008で指定された範囲

ブレイン装置自動固有の表面積アナライザー自動ブレイン装置

お問い合わせの情報

ダウンロード as PDF
–>
Gereにお問い合わせください
当社の製品についてご質問がある場合は、いつでもお気軽にご相談ください。
お問い合わせ
Leave Your Message

If you are interested in 私たちの製品s, you can choose to leave your information here, and we will be in touch with you shortly.